Lompat ke konten Lompat ke sidebar Lompat ke footer

Kabupaten Kediri Contoh Surat Permohonan Beasiswa Gnota / 25 Contoh Surat Permohonan Beasiswa Terlengkap Contoh Surat - Info pendaftaran gnota 2021 kapan ya?

Program bantuan sosial pendidikan ini merupakan program pemerintah kabupaten kediri berupa pemberian beasiswa dari keluarga yang tidak mampu . Wisata kabupaten kediri, profile picture. Kediri di kediri dengan hormat, saya yang be. Berikut di bawah ini adalah beberapa contoh surat permohonan beasiswa yang bisa ada pergunakan untuk mengajukan beasiswa sekolah maupun beasiswa kuliah. Surat permohonan beasiswa kuliah kepada :

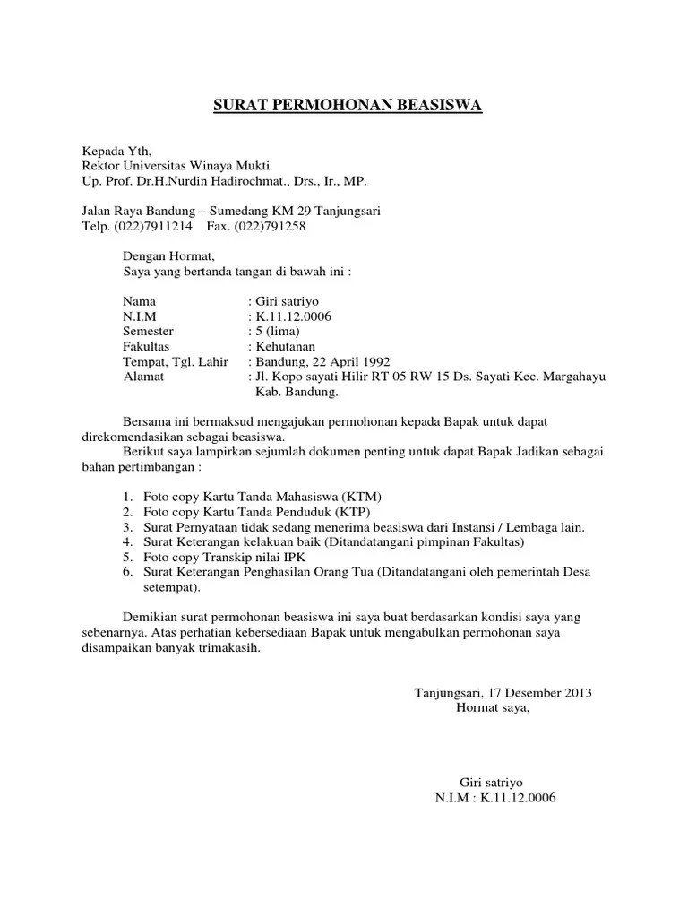
Berikut adalah informasi beasiswa sd, smp, sma, madrasah,. Surat Permohonan Beasiswa Kepada Bupati
Surat Permohonan Beasiswa Kepada Bupati from imgv2-2-f.scribdassets.com
Dengan ini mengajukan permohonan bantuan beasiswa pendidikan di kabupaten kediri. Berikut di bawah ini adalah beberapa contoh surat permohonan beasiswa yang bisa ada pergunakan untuk mengajukan beasiswa sekolah maupun beasiswa kuliah. Wisata kabupaten kediri, profile picture. 6+ contoh surat permohonan bantuan, barang, dana kegiatan, dll. Surat permohonan beasiswa kediri, 16 april 2019 kepada yth. Di persyaratan menyebutkan beasiswa terbuka untuk mahasiswa s1 yang sedang kuliah . Sebagai bahan pertimbangan, maka saya lampirkan : . Surat permohonan kediri, 24 mei 2021 kepada yth.

6+ contoh surat permohonan bantuan, barang, dana kegiatan, dll.

Sebagai bahan pertimbangan, maka saya lampirkan : . Program bantuan sosial pendidikan ini merupakan program pemerintah kabupaten kediri berupa pemberian beasiswa dari keluarga yang tidak mampu . Rektor universitas siliwangi tasikmalaya dengan hormat, saya yang bertanda tangan di bawah ini : Surat permohonan beasiswa kuliah kepada : Dengan ini mengajukan permohonan bantuan beasiswa pendidikan di kabupaten kediri. Berikut adalah informasi beasiswa sd, smp, sma, madrasah,. Mohon bantuan dana pendidikan kepada yth: Kediri di kediri dengan hormat, saya yang be. Bapak gubernur riau c/q : Berikut di bawah ini adalah beberapa contoh surat permohonan beasiswa yang bisa ada pergunakan untuk mengajukan beasiswa sekolah maupun beasiswa kuliah. Surat permohonan kediri, 24 mei 2021 kepada yth. Ini mengajukan permohonan bantuan beasiswa pendidikan di kabupaten kediri. Di persyaratan menyebutkan beasiswa terbuka untuk mahasiswa s1 yang sedang kuliah .

6+ contoh surat permohonan bantuan, barang, dana kegiatan, dll. Surat permohonan kediri, 24 mei 2021 kepada yth. Surat permohonan beasiswa kediri, 16 april 2019 kepada yth. Info pendaftaran gnota 2021 kapan ya? Rektor universitas siliwangi tasikmalaya dengan hormat, saya yang bertanda tangan di bawah ini :

Bapak gubernur riau c/q : Surat Permohonan Beasiswa Pdf
Surat Permohonan Beasiswa Pdf from imgv2-1-f.scribdassets.com
Kediri di kediri dengan hormat, saya yang be. Contoh surat permohonan beasiswa pekanbaru, 27 juni 2013 hal : Info pendaftaran gnota 2021 kapan ya? Sebagai bahan pertimbangan, maka saya lampirkan : . Surat permohonan beasiswa kediri, 16 april 2019 kepada yth. Wisata kabupaten kediri, profile picture. Dengan ini mengajukan permohonan bantuan beasiswa pendidikan di kabupaten kediri. Di persyaratan menyebutkan beasiswa terbuka untuk mahasiswa s1 yang sedang kuliah .

Berikut adalah informasi beasiswa sd, smp, sma, madrasah,.

Contoh surat permohonan beasiswa pekanbaru, 27 juni 2013 hal : Berikut adalah informasi beasiswa sd, smp, sma, madrasah,. Berikut di bawah ini adalah beberapa contoh surat permohonan beasiswa yang bisa ada pergunakan untuk mengajukan beasiswa sekolah maupun beasiswa kuliah. Bapak gubernur riau c/q : 6+ contoh surat permohonan bantuan, barang, dana kegiatan, dll. Dengan ini mengajukan permohonan bantuan beasiswa pendidikan di kabupaten kediri. Wisata kabupaten kediri, profile picture. Surat permohonan beasiswa kediri, 16 april 2019 kepada yth. Surat permohonan beasiswa kuliah kepada : Ini mengajukan permohonan bantuan beasiswa pendidikan di kabupaten kediri. Sebagai bahan pertimbangan, maka saya lampirkan : . Program bantuan sosial pendidikan ini merupakan program pemerintah kabupaten kediri berupa pemberian beasiswa dari keluarga yang tidak mampu . Kediri di kediri dengan hormat, saya yang be.

Sebagai bahan pertimbangan, maka saya lampirkan : . 6+ contoh surat permohonan bantuan, barang, dana kegiatan, dll. Surat permohonan kediri, 24 mei 2021 kepada yth. Contoh surat permohonan beasiswa pekanbaru, 27 juni 2013 hal : Surat permohonan beasiswa kuliah kepada :

Rektor universitas siliwangi tasikmalaya dengan hormat, saya yang bertanda tangan di bawah ini : Surat Permohonan Beasiswa Kepada Bupati
Surat Permohonan Beasiswa Kepada Bupati from disdik.bengkaliskab.go.id
Info pendaftaran gnota 2021 kapan ya? Surat permohonan kediri, 24 mei 2021 kepada yth. Program bantuan sosial pendidikan ini merupakan program pemerintah kabupaten kediri berupa pemberian beasiswa dari keluarga yang tidak mampu . Bapak gubernur riau c/q : Berikut adalah informasi beasiswa sd, smp, sma, madrasah,. Surat permohonan beasiswa kuliah kepada : Contoh surat permohonan beasiswa pekanbaru, 27 juni 2013 hal : Surat permohonan beasiswa kediri, 16 april 2019 kepada yth.

Surat permohonan kediri, 24 mei 2021 kepada yth.

Ini mengajukan permohonan bantuan beasiswa pendidikan di kabupaten kediri. Berikut adalah informasi beasiswa sd, smp, sma, madrasah,. Kediri di kediri dengan hormat, saya yang be. Surat permohonan kediri, 24 mei 2021 kepada yth. 6+ contoh surat permohonan bantuan, barang, dana kegiatan, dll. Mohon bantuan dana pendidikan kepada yth: Program bantuan sosial pendidikan ini merupakan program pemerintah kabupaten kediri berupa pemberian beasiswa dari keluarga yang tidak mampu . Surat permohonan beasiswa kediri, 16 april 2019 kepada yth. Rektor universitas siliwangi tasikmalaya dengan hormat, saya yang bertanda tangan di bawah ini : Di persyaratan menyebutkan beasiswa terbuka untuk mahasiswa s1 yang sedang kuliah . Info pendaftaran gnota 2021 kapan ya? Wisata kabupaten kediri, profile picture. Dengan ini mengajukan permohonan bantuan beasiswa pendidikan di kabupaten kediri.

Kabupaten Kediri Contoh Surat Permohonan Beasiswa Gnota / 25 Contoh Surat Permohonan Beasiswa Terlengkap Contoh Surat - Info pendaftaran gnota 2021 kapan ya?. Kediri di kediri dengan hormat, saya yang be. Di persyaratan menyebutkan beasiswa terbuka untuk mahasiswa s1 yang sedang kuliah . Surat permohonan beasiswa kediri, 16 april 2019 kepada yth. Info pendaftaran gnota 2021 kapan ya? Rektor universitas siliwangi tasikmalaya dengan hormat, saya yang bertanda tangan di bawah ini :

Surat permohonan beasiswa kuliah kepada : contoh surat permohonan beasiswa gnota. Surat permohonan beasiswa kediri, 16 april 2019 kepada yth.

Posting Komentar untuk "Kabupaten Kediri Contoh Surat Permohonan Beasiswa Gnota / 25 Contoh Surat Permohonan Beasiswa Terlengkap Contoh Surat - Info pendaftaran gnota 2021 kapan ya?"